Polar Map
 |
Mercator Map and Alt/Lat
 |
All All Panel 1
 |
All All Panel 2
 |
All_SDs
 |
All Deltas
 |
Flight Flight Panel 1
 |
Flight Flight Panel 2
 |
Flight_SDs
 |
Flight Deltas
 |
Time Series Flight
 |
Gas Profile Flight
 |
AMPS Time Series Flight
 |
Gas Profile MCMdep
 |
Time Series MCMdep
 |
Gas Profile CHCarr
 |
Time Series CHCarr
 |
Hatch Leak Check
 |
Rack Leak Check
 |
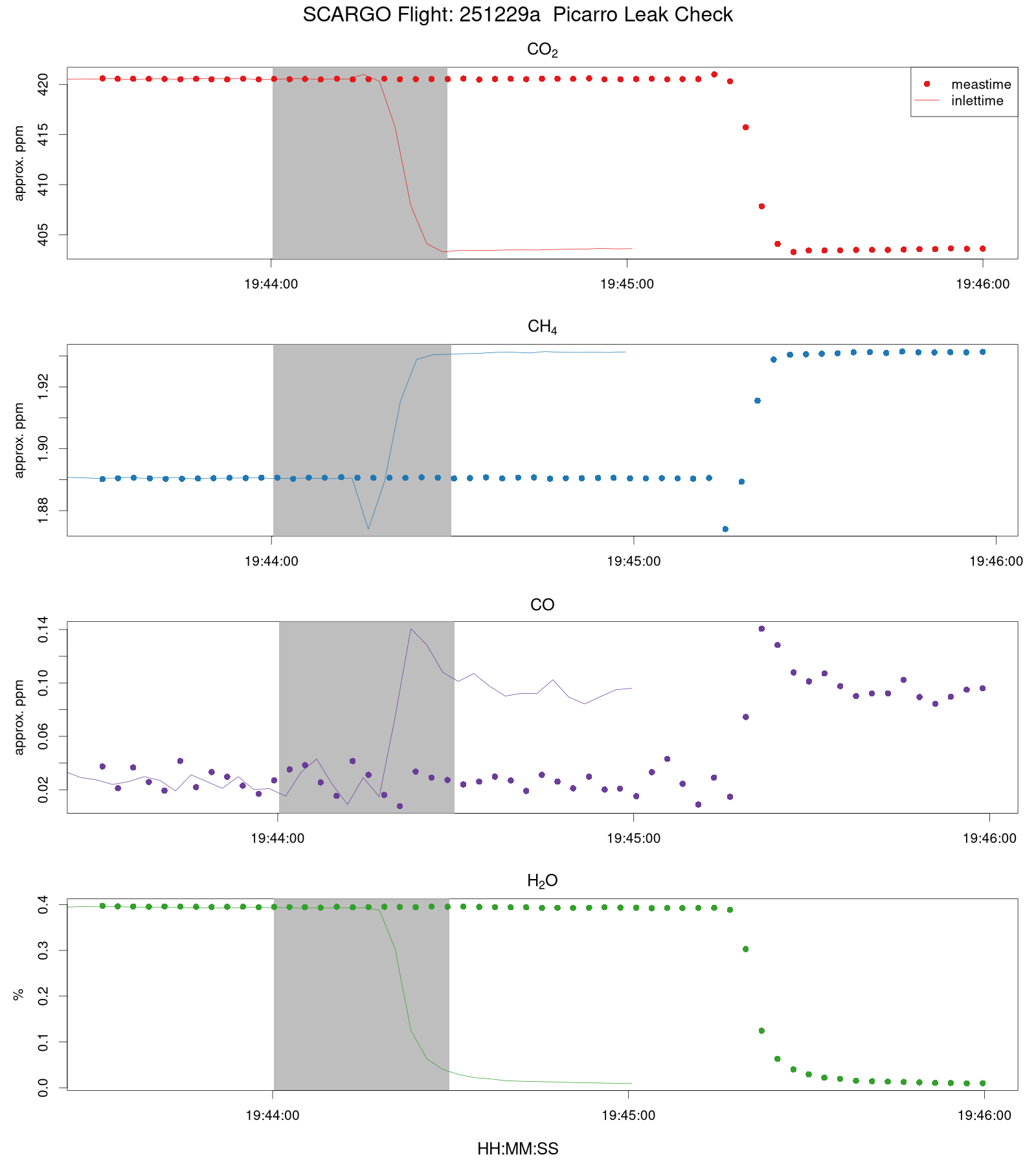
Picarro Leak Check
 |
Time Series Hatchlkchkpm15
 |
Warm Up Period
 |
Inlet Lag Estimate
 |