FULL DIAGNOSTICS

Location = HDP
Unit = E
From 100301 to 100331


Average Diagnostics
Pressure Smoother
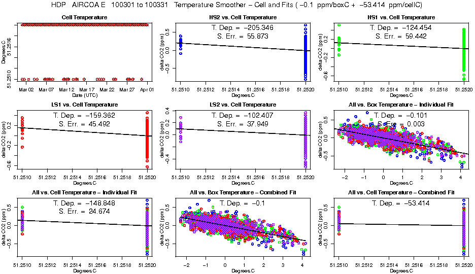
Temperature Smoother 1
Temperature Smoother 2
Flushing Effect
Fit Parameters
Fit Parameters in ppm
Average Fits
Calibration Gas Offsets
Calibration Gas Values
Individual Fits (1)
Individual Fits (2)
Individual Fits (3)
Individual Fits (4)
Individual Fits (5)