VUV PRESSURE SCAN RESULTS
RUN = 210607a
PROCESSED Mon Mar 10 05:26:33 PM MDT 2025

Notes
Logfile

Results

Using data from 0 to 1 (Day Fraction)

Raw Data and Diagnostics Figures

All Variables 1
All Variables 2
Pressure Scan Variables

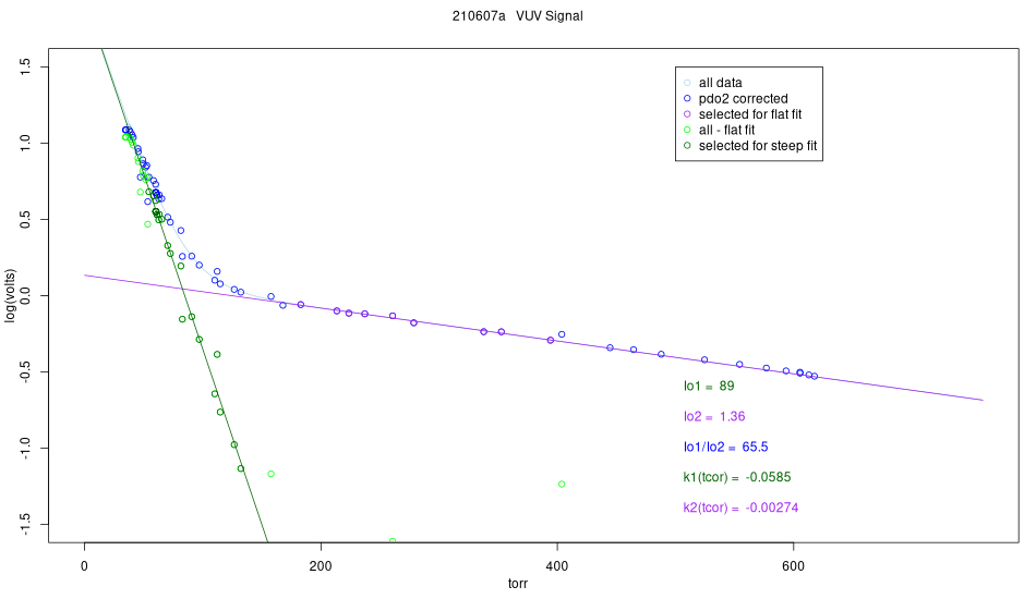
Pressure Scan


O2 Scaling Factor